Passivation of Black Phosphorus via Self-Assembled Organic Monolayers by van der Waals Epitaxy
Towards a Comprehensive Understanding of the Reaction Mechanisms Between Defective MoS2 and Thiol Molecules
Photoabsorption Tolerance of Intrinsic Point Defects and Oxidation in Black Phosphorus Quantum Dots
How To Obtain High-Quality and High-Stability Interfacial Organic Layer: Insights from the PTCDA Self-Assembly
High Intrinsic Catalytic Activity of Two-Dimensional Boron Monolayers for the Hydrogen Evolution Reaction
A New Dirac Cone Material: A Graphene-Like Be3C2 Monolayer
Efficient Carrier Separation in Graphitic Zinc Oxide and Blue Phosphorus van der Waals Heterostructure
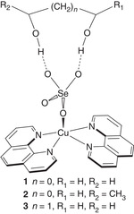
Dielectric and Ferroelectric Sensing Based on Molecular Recognition in Cu(1,10-Phenlothroline)2SeO4·(Diol) Systems
Repairing Atomic Vacancies in Single-Layer MoSe2 Field-Effect Transistor and Its Defect Dynamics
Theoretical Study on the Self-Assembly of 1,3,5-Triethynylbenzene on Si(100)2×1 and In Situ Polymerization via Reaction with CO to Fabricate a Single Surface-Grafted Polymer
Template-Grown MoS2 Nanowires Catalyze the Hydrogen Evolution Reaction: Ultralow Kinetic Barriers with High Active Site Density
Nanosheet Supported Single-Metal Atom Bifunctional Catalyst for Overall Water Splitting
Arsenene-Based Heterostructures: Highly Efficient Bifunctional Materials for Photovoltaics and Photocatalytics
Oxidation Mechanism and Protection Strategy of Ultrathin Indium Selenide: Insight from Theory
Prediction of a Room-Temperature Eight-Coordinate Two-Dimensional Topological Insulator: Penta-RuS4 Monolayer
Water-Catalyzed Oxidation of Few-Layer Black Phosphorous in a Dark Environment
An Organic-Inorganic Perovskite Ferroelectric with Large Piezoelectric Response
Recent Advances in Electrocatalysts for the Hydrogen Evolution Reaction Based on Graphene-Like Two-Dimensional Materials
Au6S2 Monolayer Sheets: Metallic and Semiconducting Polymorphs
Exploitation of the Large-Area Basal Plane of MoS2 and Preparation of Bifunctional Catalysts through On-Surface Self-Assembly
Band-Edge Engineering via Molecule Intercalation: A New Strategy to Improve Stability of Few-Layer Black Phosphorus
Nanoconfined Iron Oxychloride Material as a High-Performance Cathode for Rechargeable Chloride Ion Batteries
Copyright © Jinlan Wang Group 2022