多维度居里温度蒙特卡洛模拟软件(MTC)
多维度居里温度蒙特卡洛模拟软件(Multi-dimensional Curie Temperature Simulation, MTC),主要研究内容是实现通用的多维度的基于经典海森堡模型的蒙特卡洛模拟程序,且向下兼容伊辛模型的模拟。适用于三维块材及二维薄层材料等多种晶体类型,不同晶系结构的居里转变温度的模拟过程。

图1. 程序主要工作流程图
程序具有以下特性:一、随机行走策略,提出了一种更为高效且准确的三维矢量随机演化的算法,实现了高效的三维自旋矢量的蒙特卡洛模拟;二、通用配置文件,通过一套抽象的近邻表,实现不同类型的晶体结构统一的抽象类型,使得通用的程序实现;三、MPI并行计算,基于MPI3标准,实现了多节点多进程的并行模拟计算;四、自动解析结构,自动解析晶体结构,提取磁性原子近邻关系并抽象为配置文件;五、局部信息快照,实现了采样分析时保存具体自旋结构信息,有利于后续信息分析;六、磁滞回线模拟,实现了外磁场下磁滞回线的模拟。

图2. 模拟单层CrI3体系的局部磁矩信息快照

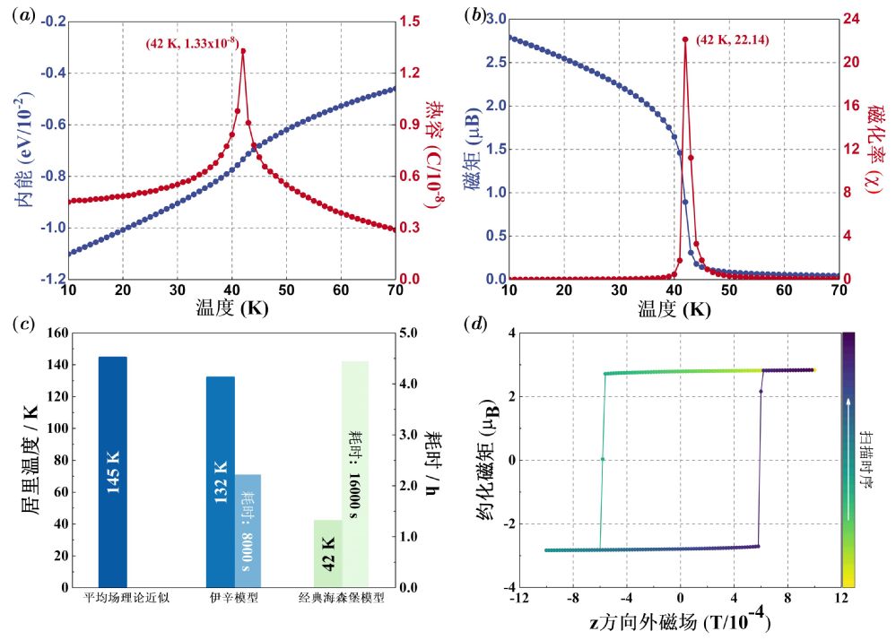
图3. MTC程序主要用于模拟材料的宏观磁学特性,例如材料的居里转变温度等。
简要说明书:
程序说明书 - readme.docx
软件包:请邮箱联系 qiang.li(at)seu.edu.cn
本软件旨在学术研究,请勿作为其它用途。使用本软件发表论文请引用相关文献:
Comput. Mater. Sci. 2021, 197, 110638.